Azərbaycan Respublikası Bakı şəhəri Sabunçu Rayon İcra Hakimiyyəti
İcra Hakimiyyəti
Qanunvericilik
Xəbərlər
Elektron xidmətlər
Foto qalereya
Əlaqə
Azərbaycan
Ümummilli Lider Heydər Əliyevin Sabunçu rayonuna səfərləri
Rayon haqqında
Rayon İdarələri
BAKI GƏNCLƏR MƏRKƏZİ
Pilot Layihə
Ölkə Başçısının səfərləri
QARABAĞ AZƏRBAYCANDIR!
Vətən müharibəsi şəhidləri
İnfrastruktur
Qanunvericilik
Etik davranış
Apellyasiya Şurası
İctimai şura
Könüllü fəaliyyət
Sabunçu mətbuatda
AÇIQ MƏLUMATLAR
Xidmətlər
Elanlar
Sizin sual və ya təklifiniz
Şriftin ölçüsü :
Ab
Ab
Saytın rəngi :
Azərbaycan Respublikası Bakı şəhəri Sabunçu Rayon İcra Hakimiyyəti
Qaynar xətt: (+99412) 428-50-31
İcra Hakimiyyəti
Qanunvericilik
Xəbərlər
Elektron xidmətlər
Foto qalereya
Əlaqə
Azərbaycan
Ümummilli Lider Heydər Əliyevin Sabunçu rayonuna səfərləri
Rayon haqqında
Rayon İdarələri
BAKI GƏNCLƏR MƏRKƏZİ
Pilot Layihə
Ölkə Başçısının səfərləri
QARABAĞ AZƏRBAYCANDIR!
Vətən müharibəsi şəhidləri
İnfrastruktur
Qanunvericilik
Etik davranış
Apellyasiya Şurası
İctimai şura
Könüllü fəaliyyət
Sabunçu mətbuatda
AÇIQ MƏLUMATLAR
Xidmətlər
Elanlar
Sizin sual və ya təklifiniz
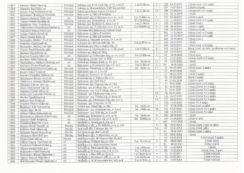
Mənzil növbəsi 2022
Share
Twitter
WhatsApp
Telegram
Mail
Keçidlər